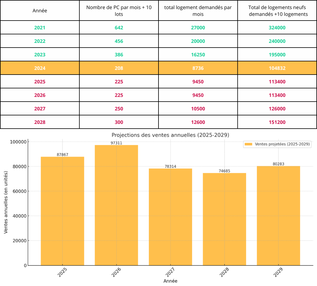
Je me suis intéressé à « modéliser » quelles pourraient être les ventes de logements neufs sur la période à venir. Le but n’est pas ici d’avoir des chiffres justes mais de montrer que la crise est aussi ailleurs…
Vous verrez ce que cela donne dans le graphique.
Pour les hypothèses :
– Taux de conversion des logements demandés : 60 % des logements demandés chaque année arrivent sur le marché (après refus de permis ou affectation aux logements sociaux).
– Mise sur le marché progressive des opérations : 60 % des logements issus d’un permis sont mis sur le marché 12 mois après leur demande. 25 % des logements sont mis sur le marché 24 mois après. 15 % des logements sont mis sur le marché 36 mois après.
– Réduction de 30 % pour les années de crise (2023-2024) : 30 % des opérations prévues pour être mises sur le marché en 2023 et 2024 sont annulées, indépendamment de l’année d’origine des permis. Je suis positif pour 2025 à juste titre ? pour 30% aussi ?
– Stocks résiduels reportés : Les logements invendus d’une année précédente sont intégralement reportés dans le stock initial de l’année suivante.
– Taux d’écoulement mensuel : 6 % par mois pour 2024 et 2025. 8 % par mois à partir de 2026.
– Impact des permis déposés : Les logements disponibles chaque année incluent les permis déposés dans les années précédentes, selon les proportions de mise sur le marché progressive.
Avant 2024 les chiffres sont bons, pour 2024 j’anticipe la trajectoire et la dynamique qui devrait nous porter entre 100 000 et 110 000 logements demandés (opérations de +10 logements je rappelle). J’impacte une stabilité (2026 élections municipales) puis une hausse des demandes de PC à partir de 2027 comme vous le verrez.
Que dire ? Malheureusement le point bas des ventes est sans doute devant nous à cause de la faible demande de PC qui aura été divisée par 3 depuis 2021 🙄 . On peut évidemment discuter du modèle (simpliste) et des taux mais la réalité est mathématique : la faible demande de PC va se répercuter sur les ventes.
On parle de solvabilité, de Pinel et si la demande est la préoccupation de 2025 et 2026 il ne faut pas oublier l’offre et la difficulté factuelle de monter des opérations immobilières qui dans mes hypothèses, malgré tout optimistes, se traduirait par un point bas des ventes en 2027 et 2028.
Outre les conditions de marché il faut absolument développer maintenant comme je peux le dire à mes clients sous peine de souffrir plus tard même si la crise se tasse.
